This Policy has been reviewed, authorised, and adopted by the Cabot Learning Federation Trust Board. It applies to all members of staff, Directors, Councillors, volunteers, pupils, and visitors in our Academies. It also applies wherever staff or volunteers are working with pupils away from the Federation, for example, at an activity centre or on an educational visit. This Policy will be shared with staff. It will be made available to parents/carers on request and can be produced in larger print or other more accessible formats if required. It will be published on the Federation’s website. Each Academy in the Cabot Learning Federation will adopt the Policy, having adapted the procedures and other appendices to suit their setting, and will publish it on their website. They will ensure that is made available, in creative ways that are more accessible to all pupils, parents/carers and visitors. It is the belief of the Federation that every pupil should feel safe and protected from any form of abuse which, in this Policy, means:
At Cabot Learning Federation, we uphold our responsibilities under the Equality Act 2010 and the Public Sector Equality Duty. This includes:
Our specific equality objectives are outlined in Kingsmead’s Equality Statement, available on our website (Equality Statement), which is reviewed and updated annually.
We follow our local authority’s Equality and Children’s Charters Appendix 2 – Revised Somerset Equality Charter.pdf
Staff must be especially vigilant in identifying abuse or neglect in children with Special Educational Needs and Disabilities (SEND), who are statistically more vulnerable. In line with our SEND Policy (SEND Policy), we ensure reasonable adjustments are made to protect disabled children, as required by the Equality Act.
We also promote anti-oppressive practice, guided by the United Nations Convention on the Rights of the Child and the Human Rights Act 1998.
Principals should ensure that the above policies and procedures, adopted by the CLF and Academy Councils, are accessible, understood and followed by all staff.
All action taken by Kingsmead will be in accordance with:
Safeguarding is defined as:
Child Protection is defined in the Children Act 1989 (s.47) as when a child is suffering or is likely to suffer significant harm. Under statutory guidance and legislation action must be taken to safeguard and promote the child’s welfare.
Effective safeguarding should mean that practitioners understand and are sensitive to all factors which can impact children and families’ lives. This will mean considering any ‘protective characteristics,’ as well as economic and social issues, and any other vulnerabilities of the child or wider family.
‘Adults at Risk’ or ‘Vulnerable Adults’ are also protected against abuse by legislation. They are defined as those ‘aged 18 years or over who are, or maybe, in need of community care services by reason of mental or other disability, age or illness or who are unable to care for themselves, or unable to protect themselves against significant harm or exploitation’. This may include adults with learning difficulties, mental health issues, physical impairments or drug and alcohol misuse. If schools are concerned about an Adult at Risk (a parent/carer, family or even staff member), they should follow the relevant Adult Safeguarding Process for their Local Authority: Professional Referrals to Adult Social Care – Professional Choices
In this policy, the term “children” is used to refer to all individuals under the age of 18, in line with the definition set out in the Children Act 1989. This includes all pupils and students, regardless of their stage of education.
We are committed to using language that recognises the vulnerability and developmental needs of all children. This includes avoiding language that may contribute to adultification—the perception or treatment of children, particularly those from marginalised groups, as being more mature or less innocent than their peers. Such perceptions can lead to reduced safeguarding responses and support.
Our safeguarding approach is grounded in the principle that all children are entitled to protection, care, and support appropriate to their age and stage of development.
At Kingsmead safeguarding and promoting the welfare of children is everyone’s responsibility. Everyone who comes into contact with children, their families and carers, has a role to play.
In order to fulfil this responsibility effectively, all professionals should make sure their approach is child centred. This means that they should always consider what is in the best interests of the child.
Kingsmead is committed to safeguarding and promoting the welfare of children by:
This policy will contribute to the safeguarding of children at Kingsmead by:
The aim of the Policy is to ensure that:
Role of all staff
Role of the Designated Safeguarding Lead (DSL)
Duties are further outlined in Keeping Children Safe in Education (Annex C)
Details of our DSL and Deputy DSLs are available on the Kingsmead website and on the safeguarding notice board in reception
The DSL will also:
Duties are further outlined in Keeping Children Safe in Education (Part 2)
At academy level, the Academy Council must appoint a Link Councillor who will take responsibility for ensuring that the setting’s safeguarding and child protection practice, process, and policy (including online safety) is effective and is compliant with legislation, statutory guidance, and Local Safeguarding Partnership arrangements.
The appointed Safeguarding Councillor will:
All staff:
Designated Safeguarding Lead and Deputies:
Other training considerations:
Kingsmead is dedicated to ensuring that learners are taught about safeguarding, including online safety. We recognise that a one size fits all approach may not be appropriate for all learners, and a more personalised or contextualised approach for more vulnerable learners, victims of abuse and some SEND children might be needed. It is also particularly important pupils with EAL who are new to the country receive accessible safeguarding information. This is part of a broad and balanced curriculum.
This includes:
Safer recruitment
The Trust pays full regard to the safer recruitment practices detailed in ‘Keeping Children Safe in Education’ (Part 3)
‘Reasonable force’ refers to the physical contact to restrain and control children using no more force than is needed.’ The use of reasonable force is down to the professional judgement of the staff member concerned and will be determined by individual circumstances and the vulnerability of any child with Special Educational Needs or Disability (SEND) or Adverse Childhood Experiences or other significant trauma will be considered.
Team-Teach is a whole setting, behaviour management response that aims to use de-escalation and behaviour strategies as a standard response to challenging behaviour. However, this is incorporated with restrictive positive handling techniques that are graded and gradual (up or down) as the situation requires.
The Team-Teach Positive Handling approach will:
The process around how the setting manages concerns where a professional may pose a risk to learners and our response to low-level concerns can be accessed in section 15 Allegations of abuse made against professionals.
Staff must be aware of the following whistleblowing channels for situations where they feel unable to raise an issue with the senior leadership team or feel that their genuine concerns are not being addressed:
These topics are themes that can impact on children and families, there are specific areas of safeguarding that the setting has statutory responsibilities to address which are hyperlinked or available in Appendix 1 of this document:
Additional information about key safeguarding areas can also be found in Keeping Children Safe in Education (Annex B); the NSPCC website – Types of Abuse; And for localised resources for education settings Somerset Safeguarding Children Partnership
Reporting concerns
All staff are clear about recording and reporting concerns to the DSL/DSL deputies in a timely way. In the case a learner is in immediate danger, staff should phone the police.
All staff are aware of and follow the procedures to respond to a concern about a child detailed in Appendix 2.
Kingsmead uses (My Concern from September to December 2025) CPOMS – from January 2026 for the monitoring of Safeguarding and Child Protection issues. Working alongside the Academy’s existing safeguarding processes. All staff that have access are expected to report their concerns using My Concern/ CPOMS, staff will still have the opportunity to ask for advice from the Safeguarding Team.
At Kingsmead learners can raise their concerns in person or via in person staff support or via our Its not OK @ Kingsmead link on our website ITS NOT OK @ Kingsmead and they will be treated seriously.
Kingsmead is committed to have due regard to relevant data protection principles which allow for sharing (and withholding) personal information as provided for in the Data protection Act 2018 and UK General Data Protection Regulations. This includes how to store and share information for safeguarding purposes, including information which is sensitive and personal and should be treated as ‘special category personal data’.
Staff at the setting are aware that:
There may be times when it is necessary to share information without consent such as:
There are also times when Kingsmead will not provide pupil’s personal data where the serious harm test under legislation is met, (by sharing the information the child may be at further risk). When in doubt Kingsmead will seek legal advice.
The Data Protection Act 2018 and UK General Data Protection Regulations do not prevent the sharing of information for the purposes of keeping children safe. Fears about sharing information must not be allowed to stand in the way of the need to safeguard and promote the welfare and protect the safety of children.
The DSL and Deputy DSL will regularly review and monitor those students who have been identified as vulnerable. This can include reviewing attendance data, behaviour data, attainment data and safeguarding records. This is to ensure that:
Kingsmead is a relevant agency in Somerset Safeguarding Children Partnership – and will work together with appropriate agencies to safeguard and promote the welfare of children including identifying and responding to their needs. This is in compliance with statutory guidance Working Together to Safeguard Children.
Occasions that warrant a statutory assessment under the Children Act 1989:
Referrals in these cases should be made by the DSL (or Deputy DSLs) to Children’s Social Care in the local authority in which that child resides.
Where the child already has a social worker, the request for service should go immediately to the social worker involved or, in their absence, to their team manager. If the child is a child in care, notification should also be made to the Virtual School.
Kingsmead will co-operate with any statutory safeguarding assessments conducted by children’s social care: this includes ensuring representation at appropriate inter-agency meetings such as integrated support plan meetings initial and review child protection conferences and core group meetings.
To be read in conjunction with the Behaviour Policy.
When the setting is considering suspending or permanently excluding a learner where additional vulnerability is identified it is important that the learner’s welfare is a paramount consideration. The Principal will consider their legal duty of care when sending a learner home and should be alert to the need for early help for a child who:
Kingsmead will exercise their legal duties in relation to their interventions. This includes:
Where Kingsmead places a pupil with an alternative provision, it continues to be responsible for the safeguarding of that pupil and should be satisfied that the placement meets the pupil’s needs.
Academies will assess the appropriateness of a provision through a process of Quality Assurance using the CLF Quality Assurance Checklist.
Kingsmead will know where a child is based during school hours. This includes having records of the address of the alternative provider and any subcontracted provision or satellite sites the child may attend. Kingsmead will review placements regularly (at least half termly) to provide assurance that the child is regularly attending and the placement continues to be safe and meets the child’s needs. Where safeguarding concerns arise, the placement should be immediately reviewed, and terminated, if necessary, unless or until those concerns have been satisfactorily addressed. Alternative Provision.gov.uk Education for children with health needs who cannot attend school.
Children being absent from education for prolonged periods and/or on repeat occasions can act as a vital warning sign to a range of safeguarding issues including neglect, child sexual and child criminal exploitation – particularly county lines. It is important the academies response to persistently absent pupils and children missing education supports identifying such abuse, and in the case of absent pupils, helps prevent the risk of them becoming a child missing education in the future. This includes when problems are first emerging but also where children are already known to local authority children’s social care and need a social worker (such as a child who is a child in need or who has a child protection plan, or is a looked after child), where being absent from education may increase known safeguarding risks within the family or in the community.
Kingsmead will follow the CLF attendance guidance, including seeking advice from the Local Authority CME team where needed.
Kingsmead will follow the CLF attendance guidance and notify the Local Authority of every learner where a parent has exercised their right to educate their child at home. Safeguarding files should be shared with the Local Authority Elective Home Education service and consideration of whether additional support from children’s social care should be made in line with the Children Act 1989.
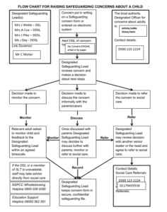
(There is a flow diagram in Appendix 7 that illustrates this section).
All staff should recognise that children can abuse other children (including online). It is important that incidents of abuse and harm are treated under safeguarding policy in conjunction with the behaviour policy. However, concerns regarding the welfare of children requires process and records to be kept on the child’s safeguarding/child protection file.
It is recognised that child-on-child abuse can happen inside and outside of the academy/college or online.
At Kingsmead
There are clear systems in place (which are well promoted, easily understood and easily accessible) for learners to confidently report abuse knowing their concerns will be treated effectively as reflected in section Reporting a concern of this policy. Kingsmead will handle initial reports of harm by:
Kingsmead will take the following actions when responding to incidents of sexual violence and sexual harassment:
Kingsmead will minimise the risk of child-on-child abuse by taking a contextual approach to safeguarding by increasing safety in the contexts of which harm can occur – this can include the academy environment itself, peer groups and the neighbourhood.
Following any incidents of child-on-child harm, the DSL/Deputies will review and consider whether any practice or environmental changes can be made in relation to any lessons learned. This can include making changes to staffing and supervision, making changes to the physical environment and considering the utilisation and delivery of safeguarding topics on the curriculum.
Staff must report any concerns or allegations about a professional’s behaviour (including supply staff, volunteers, and contractors) where they may have:
Immediate action must be taken
Low-level concerns
This should be read in conjunction with the staff code of conduct, Keeping children Safe in Education (Part 4) and the CLF Low Level Concerns Guidance. A low-level concern is not insignificant. This process should be used in events where a concern about professional conduct does not meet the threshold set out at the beginning of this section.
A flow diagram is available in Appendix 7 to illustrate this section
Schools and colleges have an important role to play in supporting the mental health and wellbeing of their learners. Mental health problems can, in some cases, be an indicator that a child has suffered or is at risk of suffering abuse, neglect or exploitation, and or may require early help support.
Kingsmead will commit to undertake the following.
Contextual safeguarding approach to mental health
Kingsmead will ensure that preventative measures in terms of providing safeguarding on the curriculum will provide opportunities for learners to identify when they may need help, and to develop resilience.
The setting will take a ‘whole school approach’ to:
Online safety is an integrated and interwoven theme with other safeguarding considerations. It is essential that the DSL takes a lead on ensuring that interventions are effective. This means coordinating support and engaging with other colleagues in the setting who may have more technological expertise such as the IT manager.
The breadth of issues classified within online safety is considerable and ever evolving, but can be categorised into four areas of risk:
Content: being exposed to illegal, inappropriate, or harmful content, for example: pornography, racism, misogyny, self-harm, suicide, anti-Semitism, radicalisation, extremism, misinformation, disinformation (including fake news) and conspiracy theories.
Contact: being subjected to harmful online interaction with other users; for example: peer to peer pressure, commercial advertising and adults posing as children or young adults with the intention to groom or exploit them for sexual, criminal, financial or other purposes.
Conduct: online behaviour that increases the likelihood of, or causes, harm; for example, making, sending and receiving explicit images (e.g. consensual and non-consensual sharing of nudes and semi-nudes and/or pornography, sharing other explicit images and online bullying, and
Commerce: risks such as online gambling, inappropriate advertising, phishing and or financial scams. If you feel your pupils, students or staff are
Kingsmead is committed to addressing online safety issues around content, contact, conduct and commerce. This includes:
All key education sector policies relevant for education settings can be found on the following webpage Somerset Council
Other multiagency guidance and policies from the Local Safeguarding Partnerships: Somerset Safeguarding Children Partnership
All staff should have an awareness of safeguarding issues that can put children at risk of harm.
Child Criminal Exploitation (CCE) and Child Sexual Exploitation (CSE)
We know that different forms of harm often overlap, and that perpetrators may subject children and young people to multiple forms of abuse, such as criminal exploitation (including county lines) and sexual exploitation.
In some cases, the exploitation or abuse will be in exchange for something the victim needs or wants (for example, money, gifts, or affection), and/or will be to the financial benefit or other advantage, such as increased status, of the perpetrator or facilitator.
Children can be exploited by adult males or females, as individuals or in groups. They may also be exploited by other children, who themselves may be experiencing exploitation – where this is the case, it is important that the child perpetrator is also recognised as a victim.
Whilst the age of the child may be a contributing factor for an imbalance of power, there are a range of other factors that could make a child more vulnerable to exploitation, including, sexual identity, cognitive ability, learning difficulties, communication ability, physical strength, status, and access to economic or other resources. Some of the following can be indicators of both child criminal and sexual exploitation where children:
Further information on signs of a child’s involvement in sexual exploitation is available in-home Office guidance: Child sexual exploitation: guide for practitioners.
County Lines
County lines is a term used to describe gangs and organised criminal networks involved in exporting illegal drugs using dedicated mobile phone lines or other form of “deal line”. This activity can happen locally as well as across the UK – no specified distance of travel is required. Children and vulnerable adults are exploited to move, store, and sell drugs and money. Offenders will often use coercion, intimidation, violence (including sexual violence) and weapons to ensure compliance of victims. Children can be targeted and recruited into county lines in several locations including schools (mainstream and special), further and higher educational schools, pupil referral units, children’s homes, and care homes.
Children are also increasingly being targeted and recruited online using social media. Children can easily become trapped by this type of exploitation as county lines gangs can manufacture drug debts which need to be worked off or threaten serious violence and kidnap towards victims (and their families) if they attempt to leave the county lines network.
Several of the indicators for CSE and CCE as detailed above may be applicable to where children are involved in county lines. Some additional specific indicators that may be present where a child is criminally exploited through involvement in county lines are children who:
Further information on the signs of a child’s involvement in county lines is available in guidance published by the Home Office.
Children and the court system
Children are sometimes required to give evidence in criminal courts, either for crimes committed against them or for crimes they have witnessed. There are two age-appropriate guides to support children 5-11-year-olds and 12–17-year-olds. The guides explain each step of the process, support and special measures that are available. There are diagrams illustrating the courtroom structure and the use of video links is explained. Making child arrangements via the family courts following separation can be stressful and entrench conflict in families. This can be stressful for children. The Ministry of Justice has launched an online child arrangements information tool with clear and concise information on the dispute resolution service. This may be useful for some parents and carers.
Child abduction and community safety incidents
Child abduction is the unauthorised removal or retention of a child from a parent or anyone with legal responsibility for the child. Child abduction can be committed by parents or other family members; by people known but not related to the victim (such as neighbours, friends, and acquaintances); and by strangers.
Other community safety incidents in the vicinity of an academy can raise concerns amongst children and parents, for example, people loitering nearby or unknown adults engaging children in conversation.
As children get older and are granted more independence (for example, as they start walking to school on their own) it is important they are given practical advice on how to keep themselves safe. Many schools provide outdoor safety lessons run by teachers or by local police staff.
It is important that lessons focus on building children’s confidence and abilities rather than simply warning them about all strangers. Further information is available at: www.actionagainstabduction.org and www.clevernevergoes.org.
Children with family members in prison
Approximately 200,000 children in England and Wales have a parent sent to prison each year. These children are at risk of poor outcomes including poverty, stigma, isolation, and poor mental health. The National Information Centre on Children of Offenders, NICCO provides information designed to support professionals working with offenders and their children, to help mitigate negative consequences for those children.
Serious Violence
All staff should be aware of the indicators, which may signal that children are at risk from, or are involved in serious crime.
The indictors can include:
Upskirting
The Voyeurism (Offences) Act, which is commonly known as the Upskirting Act, came into force on 12 April 2019. ‘Upskirting’ is where someone takes a picture under a person’s clothing (not necessarily a skirt) without their permission and or knowledge, with the intention of viewing their genitals or buttocks (with or without underwear) to obtain sexual gratification, or cause the victim humiliation, distress, or alarm. It is a criminal offence. Anyone of any gender, can be a victim.
Addressing Violence Against Women and Girls and Misogyny
All staff have a responsibility to recognise and respond to behaviours and attitudes that contribute to Violence Against Women and Girls (VAWG), including misogyny, harassment, and gender-based violence. These behaviours are safeguarding concerns and must be addressed as such.
This policy aligns with the Bristol Be Safe guidance, which highlights the importance of early identification, prevention, and intervention in cases of VAWG. Misogynistic attitudes—whether expressed through language, behaviour, or institutional practices—can create environments where abuse is normalised or overlooked. Staff must challenge these attitudes and ensure that all children and young people feel safe, respected, and supported.
We are committed to fostering a culture of respect, equality, and safety, where harmful gender norms are actively challenged, and all disclosures are taken seriously and responded to appropriately.
So-called ‘honour-based’ abuse (including Female Genital Mutilation and Forced Marriage)
So-called ‘honour-based’ abuse (HBA) encompasses incidents or crimes which have been committed to protect or defend the honour of the family and/or the community, including female genital mutilation (FGM), forced marriage, and practices such as breast ironing. Abuse committed in the context of preserving “honour” often involves a wider network of family or community pressure and can include multiple perpetrators. It is important to be aware of this dynamic and additional risk factors when deciding what form of safeguarding action to take. All forms of HBA are abuse (regardless of the motivation) and should be handled and escalated as such. Professionals in all agencies, and individuals and groups in relevant communities, need to be alert to the possibility of a child being at risk of HBA, or already having suffered HBA.
Actions
If staff have a concern regarding a child that might be at risk of HBA or who has suffered from HBA, they should speak to the designated safeguarding lead (or deputy). As appropriate, they will activate local safeguarding procedures, using existing national and local protocols for multi-agency liaison with police and children’s social care. Where FGM has taken place, since 31 October 2015 there has been a mandatory reporting duty placed on teachers104 that requires a different approach (see following section).
FGM
FGM comprises all procedures involving partial or total removal of the external female genitalia or other injury to the female genital organs. It is illegal in the UK and a form of child abuse with long-lasting harmful consequences.
FGM mandatory reporting duty for teachers
Section 5B of the Female Genital Mutilation Act 2003 (as inserted by section 74 of the Serious Crime Act 2015) places a statutory duty upon teachers along with regulated health and social care professionals in England and Wales, to report to the police where they discover (either through disclosure by the victim or visual evidence) that FGM appears to have been carried out on a girl under 18. Those failing to report such cases may face disciplinary sanctions. It will be rare for teachers to see visual evidence, and they should not be examining pupils or students, but the same definition of what is meant by “to discover that an act of FGM appears to have been carried out” is used for all professionals to whom this mandatory reporting duty applies. Information on when and how to make a report can be found at: https://www.gov.uk/government/publications/mandatory-reporting-of-female-genital-mutilation-procedural-information
Teachers must personally report to the police in cases where they discover that an act of FGM appears to have been carried out. Unless the teacher has good reason not to, they should still consider and discuss any such case with the school’s or college’s designated safeguarding lead (or deputy) and involve children’s social care as appropriate. The duty does not apply in relation to at risk or suspected cases (i.e., where the teacher does not discover that an act of FGM appears to have been carried out, either through disclosure by the victim or visual evidence) or in cases where the woman is 18 or over. In these cases, teachers should follow local safeguarding procedures. The following is a useful summary of the FGM mandatory reporting duty: FGM Fact Sheet. https://assets.publishing.service.gov.uk/government/uploads/system/uploads/attachment_data/file/496415/6_1639_HO_SP_FGM_mandatory_reporting_Fact_sheet_Web.pdf
Forced marriage
Forcing a person into marriage is a crime in England and Wales. A forced marriage is one entered into without the full and free consent of one or both parties and where violence, threats or any other form of coercion is used to cause a person to enter into a marriage. Threats can be physical or emotional, and psychological. A lack of full and free consent can be where a person does not consent or where they cannot consent (if they have learning disabilities, for example). Nevertheless, some perpetrators use perceived cultural practices as a way to coerce a person into marriage. Schools and colleges can play an important role in safeguarding children from forced marriage.
The Forced Marriage Unit has published statutory guidance https://www.gov.uk/guidance/forced-marriage and multi-agency policies, https://assets.publishing.service.gov.uk/government/uploads/system/uploads/attachment_data/file/322307/HMG_MULTI_AGENCY_PRACTICE_GUIDELINES_v1_180614_FINAL.pdf pages 35-36 of which focus on the role of schools and colleges. School and college staff can contact the Forced Marriage Unit if they need advice or information: Contact: 020 7008 0151 or email fmu@fco.gov.uk.
In addition, since February 2023 it has also been a crime to carry out conduct whose purpose is to cause a child to marry before their eighteenth birthday, even if violence, threats, or another form of coercion are not used. As with the existing forced marriage law, this applies to non-binding, unofficial ‘marriages’ as well as legal marriages.
Preventing radicalisation
Children may be susceptible to radicalisation into terrorism. Similar to protecting children from other forms of harm and abuse, protecting children from this risk should be a part of a schools or colleges safeguarding approach.
Terrorism is an action that endangers or causes serious violence to a person/people; causes serious damage to property; or seriously interferes or disrupts an electronic system. The use or threat must be designed to influence the government or to intimidate the public and is made for the purpose of advancing a political, religious, or ideological cause.
Although there is no single way of identifying whether a child is likely to be susceptible to radicalisation into terrorism, there are factors that may indicate concern. It is possible to protect people from extremist ideology and intervene to prevent those at risk of radicalisation being drawn to terrorism. As with other safeguarding risks, staff should be alert to changes in children’s behaviour, which could indicate that they may be in need of help or safeguarding. Staff should use their judgement in identifying children who might be at risk of radicalisation and act proportionately, which may include the designated safeguarding lead (or a deputy) making a Prevent referral.
The Prevent duty
All schools and colleges are subject to a duty under section 26 of the Counter- Terrorism and Security Act 2015, in the exercise of their functions, to have “due regard to the need to prevent people from becoming terrorists or supporting terrorism”. This duty is known as the Prevent duty. The Prevent duty should be seen as part of schools’ and colleges’ wider safeguarding obligations. Designated safeguarding leads (and deputies) and other senior leaders in education settings should familiarise themselves with the revised Prevent duty guidance: for England and Wales, especially paragraphs 141-210, which are specifically concerned with education (and also covers childcare). The guidance is set out in terms of three general themes: leadership and partnership, capabilities and reducing permissive environments. The school or college’s designated safeguarding lead (and any deputies) should be aware of local procedures for making a Prevent referral.
Channel is a voluntary, confidential support programme which focuses on providing support at an early stage to people who are identified as being susceptible to being drawn into terrorism. Prevent referrals are assessed and may be passed to a multi-agency Channel panel, which will discuss the individual referred to determine whether they are at risk of being drawn into terrorism and consider the appropriate support required. A representative from the school or college may be asked to attend the Channel panel to help with this assessment. An individual will be required to provide their consent before any support delivered through the programme is provided.
The designated safeguarding lead (or a deputy) should consider if it would be appropriate to share any information with the new school or college in advance of a child leaving. For example, information that would allow the new school or college to continue supporting victims of abuse or those who are currently receiving support through the ‘Channel’ programme and have that support in place for when the child arrives.
Guidance on Channel can be found at https://www.gov.uk/government/publications/channel-guidance
Additional support
The Government has published further advice for schools on the Prevent duty. https://www.gov.uk/government/publications/protecting-children-from-radicalisation-the-prevent-duty
The Home Office has developed three e-learning modules:
Prevent awareness e-learning offers an introduction to the Prevent duty.
https://www.elearning.prevent.homeoffice.gov.uk/edu/screen1.html
Prevent referrals e-learning supports staff to make Prevent referrals that are robust, informed and with good intention.
https://www.elearning.prevent.homeoffice.gov.uk/prevent_referrals/01-welcome.html
Channel awareness e-learning is aimed at staff who may be asked to contribute to or sit on a multi-agency Channel panel. Educate
https://www.elearning.prevent.homeoffice.gov.uk/channel_awareness/01-welcome.html
Educate Against Hate, is a government website designed to support schoolteachers and leaders to help them safeguard their students from radicalisation and extremism. The platform provides free information and resources to help school staff identify and address risks, as well as build resilience to radicalisation.
https://educateagainsthate.com
For advice specific to further education, the Education and Training Foundation (ETF) hosts the Prevent for FE and Training. https://preventforfeandtraining.org.uk/ This hosts a range of free, sector specific resources to support further education settings to comply with the Prevent duty. This includes the Prevent Awareness e-learning, which offers an introduction to the duty, and the Prevent Referral e-learning, which is designed to support staff to make robust, informed, and proportionate referrals.
Modern Slavery and the National Referral Mechanism
Modern slavery encompasses human trafficking and slavery, servitude and forced or compulsory labour. Exploitation can take many forms, including sexual exploitation, forced labour, slavery, servitude, forced criminality, and the removal of organs.
Further information on the signs that someone may be a victim of modern slavery, the support available to victims, and how to refer them to the NRM is available in the Modern Slavery Statutory Guidance. Modern slavery: how to identify and support victims – GOV.UK (www.gov.uk)
Domestic abuse
The Domestic Abuse Act 2021 received Royal Assent on 29 April 2021. The Act introduces the first ever statutory definition of domestic abuse and recognises the impact of domestic abuse on children, as victims in their own right, if they see, hear or experience the effects of abuse. The statutory definition of domestic abuse, based on the previous cross-government definition, ensures that different types of relationships are captured, including ex-partners and family members. The definition captures a range of different abusive behaviours, including physical, emotional, and economic abuse and coercive and controlling behaviour. Both the person who is carrying out the behaviour and the person to whom the behaviour is directed towards must be aged 16 or over and they must be “personally connected” (as defined in section 2 of the 2021 Act).
Domestic abuse can encompass a wide range of behaviours and may be a single incident or a pattern of incidents. That abuse can be, but is not limited to, psychological, physical, sexual, financial, or emotional. Children can be victims of domestic abuse. They may see, hear, or experience the effects of abuse at home and/or suffer domestic abuse in their own intimate relationships (teenage relationship abuse). All of which can have a detrimental and long-term impact on their health, well-being, development, and ability to learn.
Children can also experience domestic abuse within their own intimate relationships. This form of child-on-child abuse is sometimes referred to as ‘teenage relationship abuse’. Depending on the age of the young people, this may not be recognised in law under the statutory definition of ‘domestic abuse’ (if one or both parties are under 16). However, as with any child under 18, where there are concerns about safety or welfare, child safeguarding procedures should be followed, and both young victims and young perpetrators should be offered support.
Operation Encompass
Operation Encompass operates in all police forces across England. It helps the police and schools work together to provide emotional and practical help to children. The system ensures that when the police are called to an incident of domestic abuse, where there are children in the household who have experienced the domestic incident, the police will inform the key adult (usually the designated safeguarding lead (or deputy)) in school before the child or children arrive at school the following day. This ensures that the school has up to date relevant information about the child’s circumstances and can enable immediate support to be put in place, according to the child’s needs. Operation Encompass does not replace statutory safeguarding procedures. Where appropriate, the police and/or schools should make a referral to local authority children’s social care if they are concerned about a child’s welfare. More information about the scheme and how schools can become involved is available on the Operation Encompass website. Operation Encompass provides an advice and helpline service for all staff members from educational settings who may be concerned about children who have experienced domestic abuse. The helpline is available 8AM to 1PM, Monday to Friday on 0204 513 9990 (charged at local rate).
National Domestic Abuse Helpline Refuge runs the National Domestic Abuse Helpline, which can be called free of charge and in confidence, 24 hours a day on 0808 2000 247. Its website provides guidance and support for potential victims, as well as those who are worried about friends and loved ones. It also has a form through which a safe time from the team for a call can be booked. Additional advice on identifying children who are affected by domestic abuse and how they can be helped is available at:
Cybercrime
Cybercrime is criminal activity committed using computers and/or the internet. It is broadly categorised as either ‘cyber-enabled’ (crimes that can happen off-line but are enabled at scale and at speed on-line) or ‘cyber dependent’ (crimes that can be committed only by using a computer). Cyber-dependent crimes include.
Children with an interest in computing and technology may inadvertently or deliberately stray into cyber-dependent crime. If there are concerns about a child in this area, the designated safeguarding lead (or a deputy), should consider referring to the Cyber Choices programme. This is a nationwide police programme supported by the Home Office and led by the National Crime Agency, working with regional and local policing. It aims to intervene where young people are at risk of committing, or being drawn into, low level cyber-dependent offences and divert them to a more positive use of their skills and interests. Note that Cyber Choices does not currently cover ‘cyber-enabled’ crime such as fraud, purchasing of illegal drugs on-line and child sexual abuse and exploitation, nor other areas of concern such as on-line bullying or general on-line safety. Additional advice can be found at: Cyber Choices, ‘NPCC- When to call the Police’ and National Cyber Security Centre – NCSC.GOV.UK
Hate Crime
Staff need to demonstrate a knowledge and understanding of Hate crimes which are any crimes that are targeted at a person because of hostility or prejudice towards that person’s
This can be committed against a person or property. The victim does not have to be a member of the group at which the hostility is targeted. In fact, anyone could be a victim of a hate crime.
Homelessness
Being homeless or at risk of becoming homeless presents a real risk to a child’s welfare. The designated safeguarding lead (and any deputies) should be aware of contact details and referral routes into the Local Housing Authority so they can raise/progress concerns at the earliest opportunity. Indicators that a family may be at risk of homelessness include household debt, rent arrears, domestic abuse, and anti-social behaviour, as well as the family being asked to leave a property. Whilst referrals and/or discussion with the Local Housing Authority should be progressed as appropriate, this does not, and should not, replace a referral into children’s social care where a child has been harmed or is at risk of harm.
The Homelessness Reduction Act 2017 places a new legal duty on English councils so that everyone who is homeless or at risk of homelessness will have access to meaningful help including an assessment of their needs and circumstances, the development of a personalised housing plan, and work to help them retain their accommodation or find a new place to live. The following factsheets summarise the new duties: Homeless Reduction Act Factsheets. (https://www.gov.uk/government/publications/homelessness-reduction-bill-policy-factsheets). The new duties shift focus to early intervention and encourage those at risk to seek support as soon as possible, before facing a homelessness crisis.
In most cases school and college staff will be considering homelessness in the context of children who live with their families, and intervention will be on that basis. However, it should also be recognised in some cases, 16 and 17-year-olds could be living independently from their parents or guardians, for example through their exclusion from the family home, and will require a different level of intervention and support. Children’s services will be the lead agency for these young people, and the designated safeguarding lead (or a deputy) should ensure appropriate referrals are made based on the child’s circumstances. The department and the Ministry of Housing, Communities and Local Government have published joint statutory guidance on the provision of accommodation for 16- and 17-year-olds who may be homeless and/ or require accommodation here. https://www.gov.uk/government/publications/homelessness-reduction-bill-policy-factsheets
Private Fostering
A private fostering arrangement is one that is made privately (without the involvement of a local authority) for the care of a child:
Statutory guidance states that this should be done at least 6 weeks before the arrangement is due to start or as soon as you are made aware of the arrangements. Not doing so is a criminal offence.
Further support and reasonable adjustments should be made by the education setting to promote achievement of positive educational outcomes.
Young Carers
A young carer is a person under 18 who regularly provides emotional and/or practical support and assistance for a family member who is disabled, physically or mentally unwell or who misuses substances.
Kingsmead will support learners who are young carers to access appropriate support. Find Your Local Young Carer Service | The Children’s Society or Young Carers Group – in a supportive environment at YMCA or Somerset Young Carers Group – West Somerset
The Carers Support Centre can undertake an assessment of needs and provide bespoke support. For further information and to make a referral visit the Carers Support Centre website.
Gender Questioning Children
Expected publication of revised guidance on gender questioning children due September 2025
A child or young person being lesbian, gay, or bisexual is not in itself an inherent risk factor for harm, however, they can sometimes be targeted by other children. In some cases, a child who is perceived by other children to be lesbian, gay, or bisexual (whether they are or not) can be just as vulnerable as children who are.
When supporting a gender questioning child, academies should take a cautious approach and consider the broad range of their individual needs, in partnership with the child’s parents (other than in the exceptionally rare circumstances where involving parents would constitute a significant risk of harm to the child), including any clinical advice that is available and how to address wider vulnerabilities such as the risk of bullying.






